Z Domain Transfer Function

Finding Discrete Time Transfer Function Using Z Transform Youtube

Finding Discrete Time Transfer Function Using Z Transform Youtube

Z Transform D Son978

Z Transform D Son978

Http Portal Unimap Edu My Portal Page Portal30 Lecture 20notes Fakulti 20teknologi 20kejuruteraan 20jabatan 20elektrik Semester 202 20sidang 20akademik 2020172018 Plt 20341 20digital 20control3 Ch 202 20digital 20system 20model Pdf

Http Portal Unimap Edu My Portal Page Portal30 Lecture 20notes Fakulti 20teknologi 20kejuruteraan 20jabatan 20elektrik Semester 202 20sidang 20akademik 2020172018 Plt 20341 20digital 20control3 Ch 202 20digital 20system 20model Pdf

3 Systems And Transfer Function Ppt Download

3 Systems And Transfer Function Ppt Download

What Is The Z Transform Technical Articles

What Is The Z Transform Technical Articles

Dsp 2018 Foehu Lec 04 The Z Transform

Dsp 2018 Foehu Lec 04 The Z Transform

Dsp 2018 Foehu Lec 04 The Z Transform

Roc is outside the outermost pole.

Z domain transfer function. F g n γ n z f z g z. Likewise in the z domain the transfer function fully describes how the output signal y z responds to an arbitrary input signal x z. X n ast h n ztarrow x z h z.

As we have seen in z transforms the convolution in the time domain transforms to a multiplication in the z domain. With the z transform we can create transfer functions for digital filters and we can plot poles and zeros on a complex plane for stability analysis. Z domain t kt unit impulse.

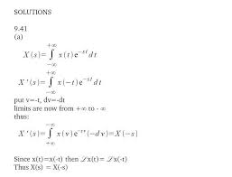
If roc is the system is causal. If i e unit circle can be included in roc the system is stable. This similarity is explored in the theory of time scale calculus.

H z z2 1 z 0 5 z 0 5. The transfer function of an lti is as shown before without specifying the roc this could be the z transform of one of the two possible time signals. Hence for this problem z transform is possible when a 1.

Causality and stability causality condition for discrete time lti systems is as follows. If i. It can be considered as a discrete time equivalent of the laplace transform.

We choose gamma γ t to avoid confusion and because in the laplace domain γ s it looks a little like a step input. Unit step note u t is more commonly used to represent the step function but u t is also used to represent other things. The inverse z transform allows us to convert a z domain transfer function into a difference equation that can be implemented in code written for a microcontroller or digital signal processor.

Inversion Of The Z Transform Partial Fraction Expansion Youtube

Inversion Of The Z Transform Partial Fraction Expansion Youtube

The Z Transform

The Z Transform

Determing Inverse Z Transform Using Impulse Response Signal Processing Stack Exchange

Determing Inverse Z Transform Using Impulse Response Signal Processing Stack Exchange

Z Transform Inverse System Function Why Number Of Poles And Zeros Myst Be Equal Signal Processing Stack Exchange

Z Transform Inverse System Function Why Number Of Poles And Zeros Myst Be Equal Signal Processing Stack Exchange

Dcs Lec03 Z Analysis Of Discrete Time Control Systems

Dcs Lec03 Z Analysis Of Discrete Time Control Systems

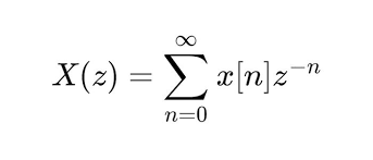
The Inverse Z Transform

The Inverse Z Transform

Pole Zero Plot Wikipedia

Pole Zero Plot Wikipedia

Understand Moving Average Filter With Python Matlab Gaussianwaves

Understand Moving Average Filter With Python Matlab Gaussianwaves

Is It Impossible To Determine The Inverse Z Transform Without Any Other Information Signal Processing Stack Exchange

Is It Impossible To Determine The Inverse Z Transform Without Any Other Information Signal Processing Stack Exchange

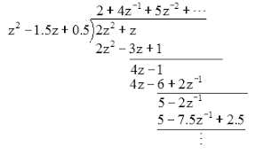
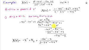
Https Nptel Ac In Content Storage2 Courses 117101055 Downloads Ps4 Pdf

Https Nptel Ac In Content Storage2 Courses 117101055 Downloads Ps4 Pdf

Rc Low Pass Filter Pokkrongv

Rc Low Pass Filter Pokkrongv

Relationship Between S Z Planes And Time Domain

Relationship Between S Z Planes And Time Domain

Z Transform Example 1 Z Transform Part 1 Youtube

Z Transform Example 1 Z Transform Part 1 Youtube

Discrete Time System Analysis Using The Z Transform Ppt Download

Discrete Time System Analysis Using The Z Transform Ppt Download

Source : pinterest.com