Domain And Range Of Quadratic Function Khan Academy

Domain And Range From Graph Khan Academy Interpreting Motion Graphs Solving Quadratic Equations Blends Worksheets

Domain And Range From Graph Khan Academy Interpreting Motion Graphs Solving Quadratic Equations Blends Worksheets

Practice Domain And Range Of Absolute Value Functions With Ixl 20 Free Questions Angle Relationships Worksheet Solving Quadratic Equations Absolute Value

Practice Domain And Range Of Absolute Value Functions With Ixl 20 Free Questions Angle Relationships Worksheet Solving Quadratic Equations Absolute Value

Intervals And Interval Notation Introduction To The Domain And Range Of A Function Functions Algebra Khan Academy Functions Algebra Algebra I Algebra

Intervals And Interval Notation Introduction To The Domain And Range Of A Function Functions Algebra Khan Academy Functions Algebra Algebra I Algebra

Activity Domain And Range 2 Algebra 2 Ti Math Nspired Algebra Ii Algebra Math

Activity Domain And Range 2 Algebra 2 Ti Math Nspired Algebra Ii Algebra Math

Introduction To Quadratics She Loves Math Quadratics Graphing Quadratics Graphing Parabolas

Introduction To Quadratics She Loves Math Quadratics Graphing Quadratics Graphing Parabolas

Activity Exploring Domain And Range Algebra 1 Ti Math Nspired Algebra Algebra I Math

Activity Exploring Domain And Range Algebra 1 Ti Math Nspired Algebra Algebra I Math

Activity Exploring Domain And Range Algebra 1 Ti Math Nspired Algebra Algebra I Math

Donate or volunteer today.

Domain and range of quadratic function khan academy. This is the currently selected item. Domain and range of quadratic functions. Watch a khan academy video length.

Khan academy is a 501 c 3 nonprofit organization. The quadratic parent function is y x2. Evaluating functions domain range of functions graphical features of functions average rate of change of functions function combination and composition function transformations shift reflect stretch piecewise functions inverse functions two variable functions.

The range of a function is the set of all real values of y that you can get by plugging real numbers into x. Given the equation of a quadratic function determine its range. A domain is the set of all of the inputs over which the function is defined.

Learn how you can find the range of any quadratic function from its vertex form. Domain and range of quadratic functions. Video graphing a quadratic function.

Range of quadratic functions. Determine the domain and range of the function f of x is equal to 3x squared plus 6x minus 2. Domain and range of a function.

So the domain of the function is. Range of quadratic functions. And i can take any real number square it multiply it by 3 then add 6 times that real number and then subtract 2 from it.

Sal Shows Various Examples Of Functions And Their Graphs That Are A Result Of Shifting And Or Flipping Y X Function Of Roots Radical Equations Square Roots

Sal Shows Various Examples Of Functions And Their Graphs That Are A Result Of Shifting And Or Flipping Y X Function Of Roots Radical Equations Square Roots

How To Find The Domain And The Range Of A Function Given Its Graph Exam Graphing Functions Graphing Domain

How To Find The Domain And The Range Of A Function Given Its Graph Exam Graphing Functions Graphing Domain

Functions Domain And Range And Asymtopes Quadratics Math Projects Graphing

Functions Domain And Range And Asymtopes Quadratics Math Projects Graphing

Khan Academy Quadratics Solving Quadratic Equations Solving Quadratics

Khan Academy Quadratics Solving Quadratic Equations Solving Quadratics

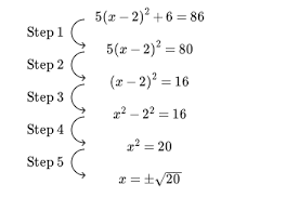
Solving Equations In Quadratic Form Using Substitution Youtube Quadratics Solving Equations Solving Quadratic Equations

Solving Equations In Quadratic Form Using Substitution Youtube Quadratics Solving Equations Solving Quadratic Equations

How To Find The Vertex Of A Parabola Standard Form Factored Vertex Form Youtube Standard Form Parabola Quadratics

How To Find The Vertex Of A Parabola Standard Form Factored Vertex Form Youtube Standard Form Parabola Quadratics

Quadratic Equations Videos Part 3 Digital Learning Quadratics Quadratic Equation Digital Learning

Quadratic Equations Videos Part 3 Digital Learning Quadratics Quadratic Equation Digital Learning

Solving Using The Quadratic Formula Interactive Practice Quadratics Quadratic Equation Quadratic Formula

Solving Using The Quadratic Formula Interactive Practice Quadratics Quadratic Equation Quadratic Formula

Pin On Math And Science For Secondary

Pin On Math And Science For Secondary

Functions Domain And Range Rational Function Math Projects Function

Functions Domain And Range Rational Function Math Projects Function

Graphing Quadratics Using Transformations Vertex Form Doodle Graphic Organizer Graphing Quadratics Quadratics Graphic Organizers

Graphing Quadratics Using Transformations Vertex Form Doodle Graphic Organizer Graphing Quadratics Quadratics Graphic Organizers

Intro To Base E Exponential Function Exponential Functions Exponential Intro

Intro To Base E Exponential Function Exponential Functions Exponential Intro

Domain And Range Graphing Set Notation Math Apps

Domain And Range Graphing Set Notation Math Apps

Click Here To Learn How To Solve A Quadratic Trigonometric Equation Over A Specified Interval 0 2pi Verify The Solu Quadratics Solving Quadratic Functions

Click Here To Learn How To Solve A Quadratic Trigonometric Equation Over A Specified Interval 0 2pi Verify The Solu Quadratics Solving Quadratic Functions

Source : pinterest.com